Неисплатливост на инвестицијата во новите автопатишта

Капитални трошоци за изградба, во мил. евра (1300 мил. за изградба и 300 мил. за експропријација на земјиштето)

Средна патарина за сите видови возила, базирана на трите делници од Куманово до Градско, во евра/km

Цена на патарината во евра/km

Проба со поголема патарина (поради нерентабилност)

Годишен приход од патарини на 108 km автопат, ПГДС=5000 возила/ден, во мил денешни евра

Оперативни трошоци за одржување на патиштата, во мил. евра/год

Почетни учество на државата, во мил. евра

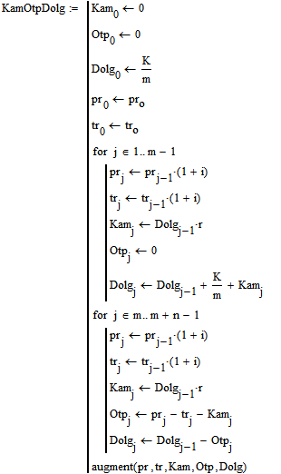
Број на годишни транши на заемот (време на изградба во години)

Заем, во мил. евра

Број на годишни ануитети за отплата (време на отплата во години)

Стапка на инфлација

Каматна стапка (цена на капиталот)

Годишна камата

Годишна отплата

Преостанат долг

(бројач на години за дијаграмите)